Preliminary results as of Summer 2025
(CKM workshop 2025)

Menu:

The global CKM fit: Inputs and Numerical results
The global CKM fit in the large (ρ-bar,η-bar) plane
The global CKM fit in the small (ρ-bar,η-bar) plane (zoom)
The global CKM fit: Pulls
The global CKM fit in the large (ρ̅M, η̅M) plane with M = sb, ds, ct, ut, uc
The global CKM fit in the (|Vud|,|Vus|) plane
The global CKM fit in the (|Vcd|,|Vcs|) plane
The global CKM fit in the (|Vub|,|Vcb|) plane
The global CKM fit for α
The |Vtd/Vts| ratio from Radiative Penguins
The very rare Kaon decays


Numerical results:

The results of the global CKM analysis include:

  • Wolfenstein parameters,
  • UT angles and sides,
  • UTsangle and apex,
  • CKM elements,
  • theory parameters,
  • rare branching fractions (B->lν, B->ll).


Numerical Results
(pdf)

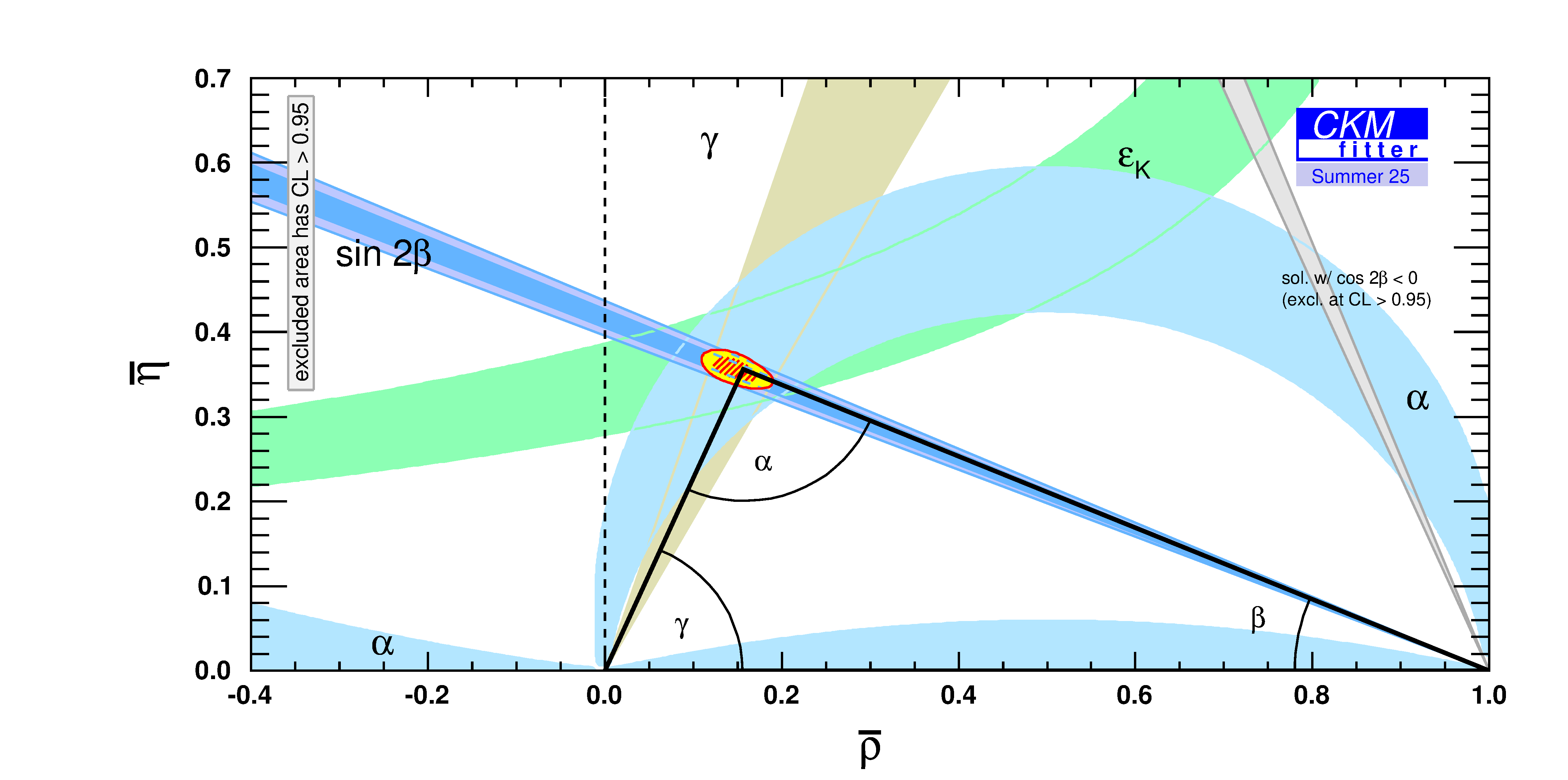
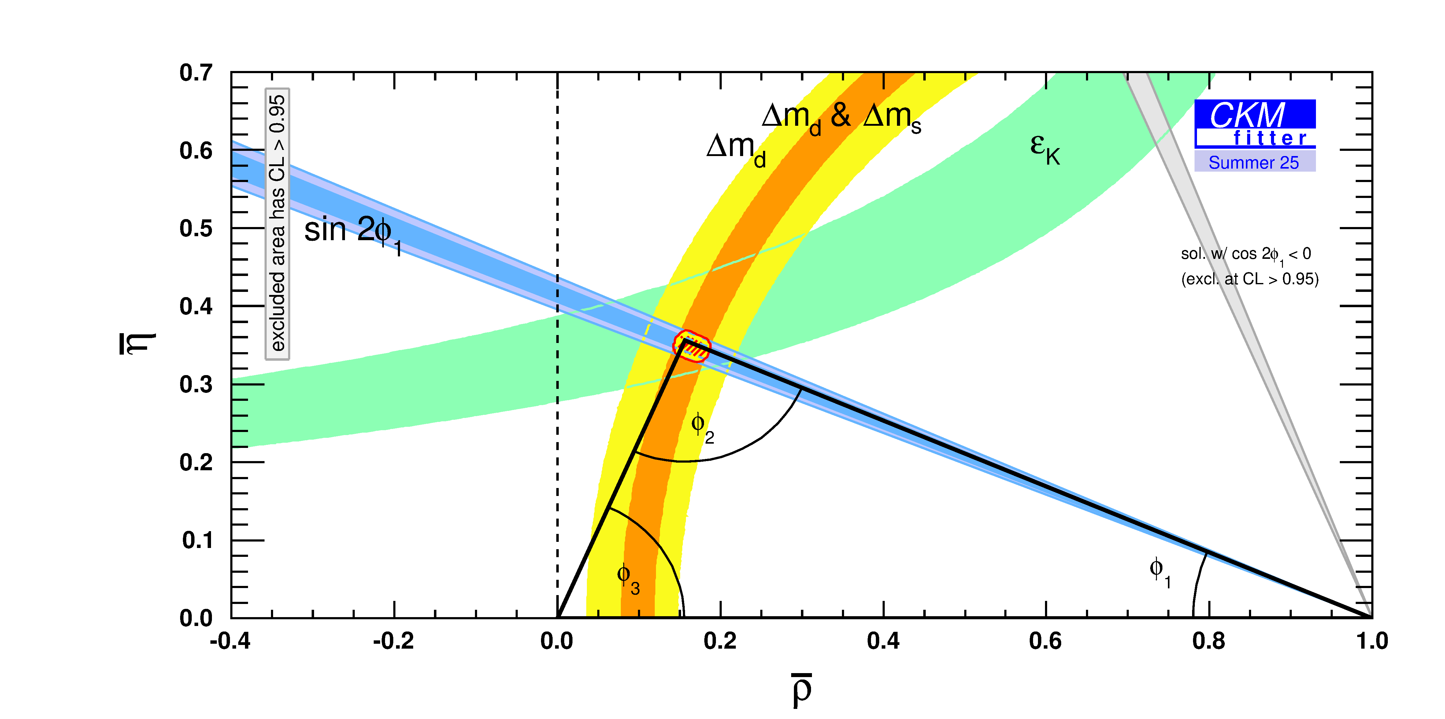
The global CKM fit in the large (ρ-bar,η-bar) plane:

Constraints in the (ρ-bar,η-bar) plane. The red hashed region of the global combination corresponds to 68% CL.
α, β, γ
convention
ϕ1, ϕ2, ϕ3
convention
eps png eps png
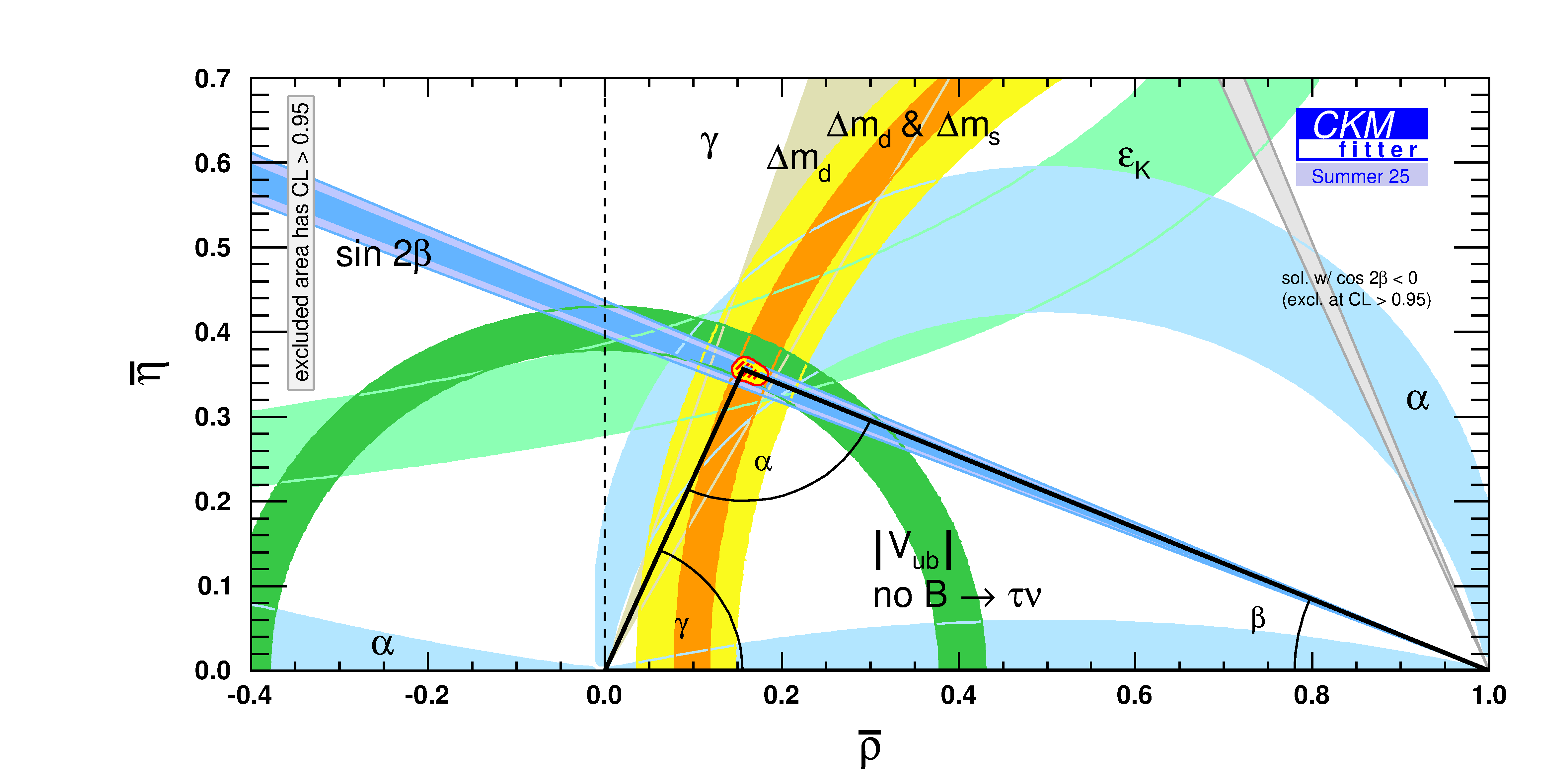
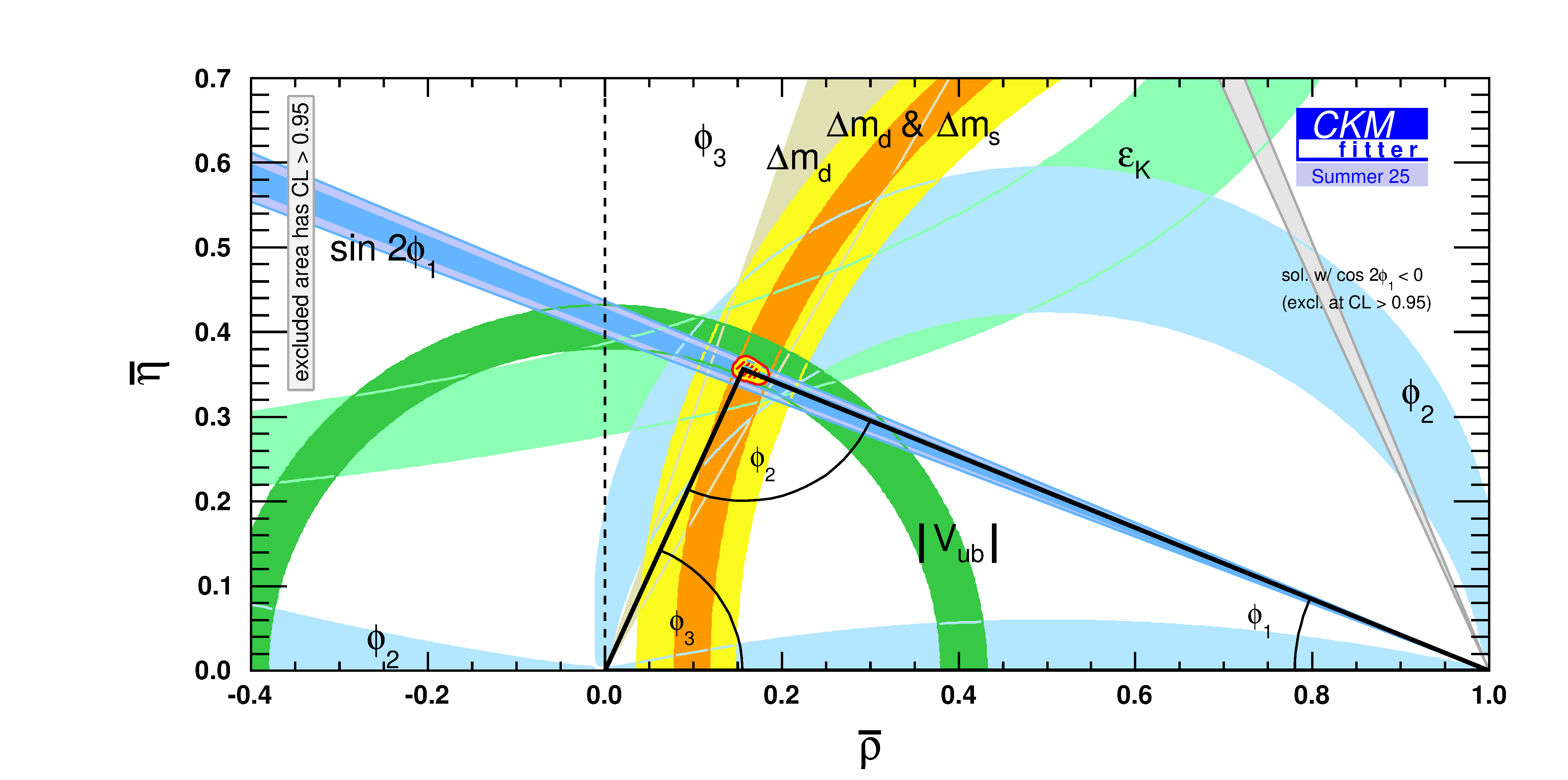
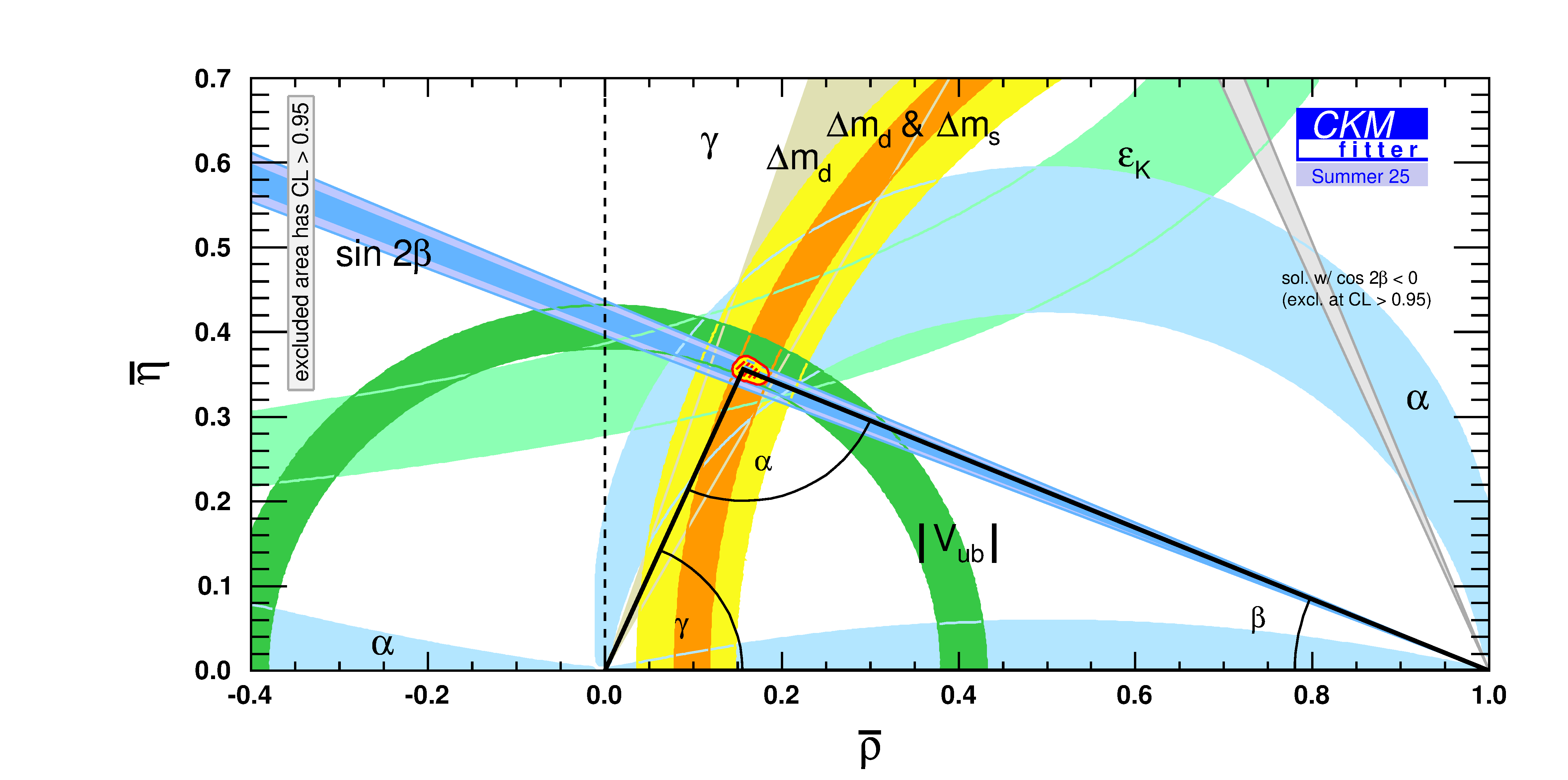
Constraints in the (ρ-bar,η-bar) plane. The |Vub| constraint has been split in three contributions: |Vub| from inclusive and exclusive semileptonic B decays (plain dark green), |Vub| from B+→τ+ ν (hashed darker green), and |Vub|/|Vcb| from Λb decays (hashed ligher green). The red hashed region of the global combination corresponds to 68% CL.
α, β, γ
convention
ϕ1, ϕ2, ϕ3
convention
eps png eps png

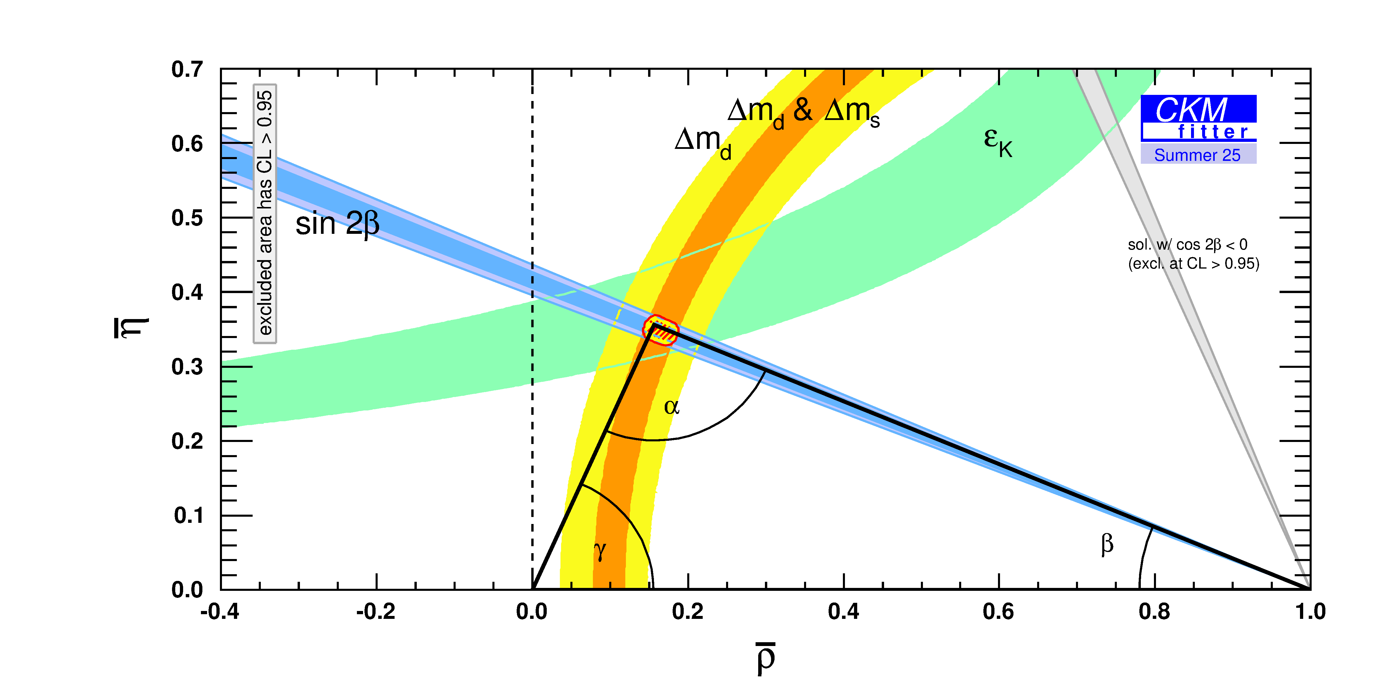
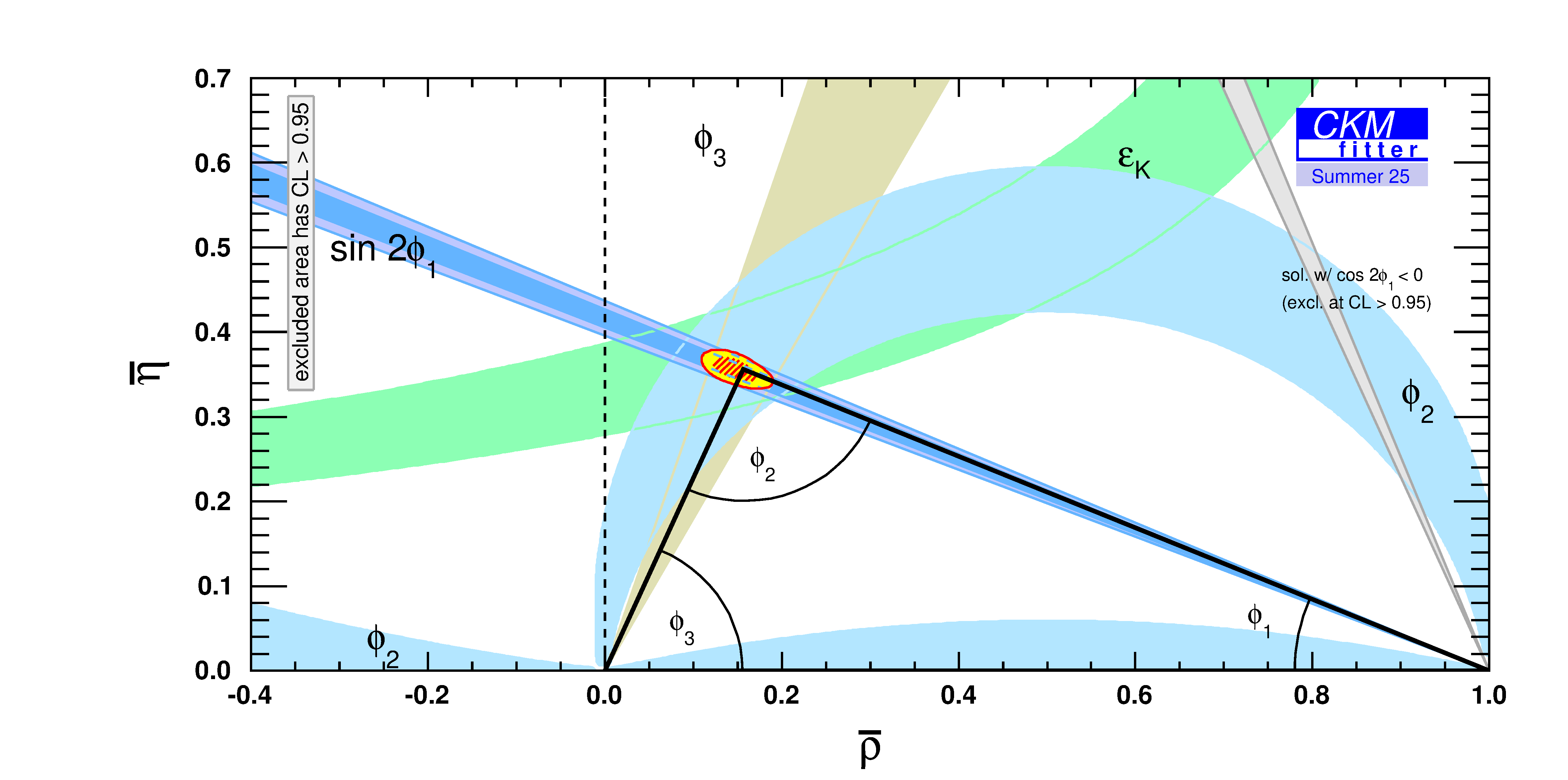
The global CKM fit in the small (ρ-bar,η-bar) plane (zoom):

Zoomed constraints in the (ρ-bar,η-bar) plane.The red hashed region of the global combination corresponds to 68% CL.
α, β, γ
convention
ϕ1, ϕ2, ϕ3
convention
eps png


eps png

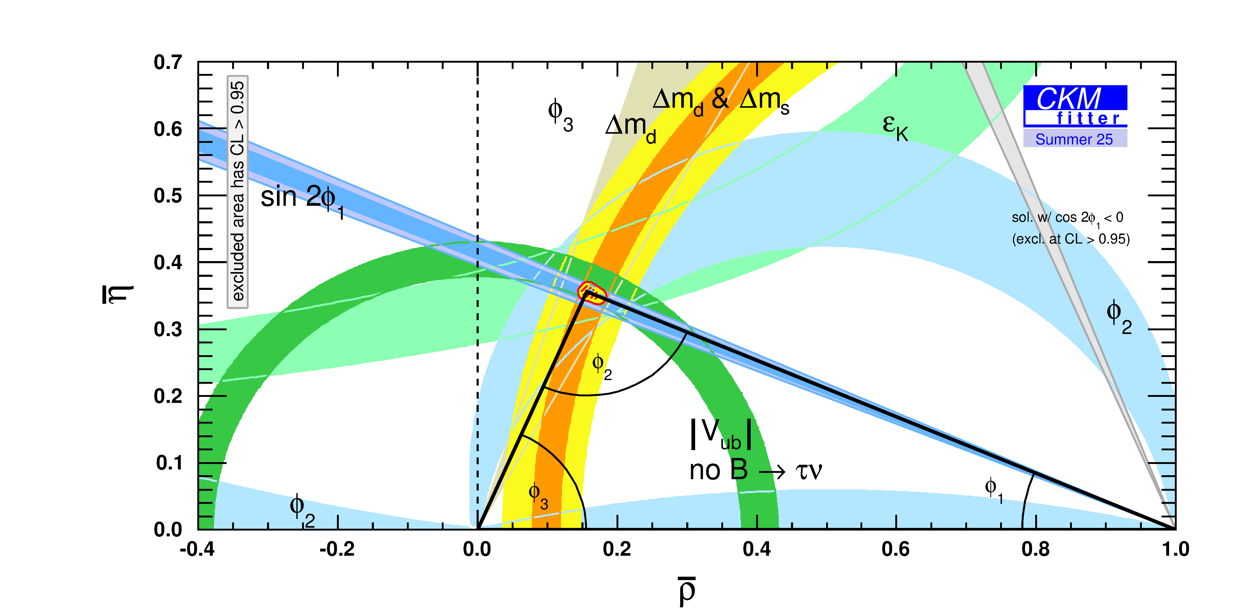
Zoomed constraints in the (ρ-bar,η-bar) plane. The |Vub| constraint has been split in three contributions: |Vub| from inclusive and exclusive semileptonic B decays (plain dark green), |Vub| from B+→τ+ ν (hashed darker green), and |Vub|/|Vcb| from Λb decays (hashed ligher green). The red hashed region of the global combination corresponds to 68% CL.
α, β, γ
convention
ϕ1, ϕ2,E ϕ3
convention

eps png


eps png

Zoomed constraints in the (ρ-bar,η-bar) plane not including the angle measurements in the global fit.
α, β, γ
convention
ϕ1, ϕ2, ϕ3
convention>/br>

eps png


eps png

Constraints in the (ρ-bar,η-bar) plane including only the angle measurements.
α, β, γ
convention
ϕ1, ϕ2, ϕ3
convention

eps png


eps png

Constraints from CP conserving quantities (|Vub / Vcb|, Δmd, (Δmd and Δms) and B+ →τ+ ν) in the (ρ-bar,η-bar) plane.
α, β, γ
convention
ϕ1, ϕ2, ϕ3
convention

eps png


eps png

Constraints from CP violating quantities (sin(2β), α, γ and εk) in the (ρ-bar,η-bar) plane.
α, β, γ
convention
ϕ1, ϕ2, ϕ3
convention

eps png


eps png

Constraints from "Tree" quantities in the (ρ-bar,η-bar) plane (involving γ(DK) and α from the isospin analysis with the help of sin2β (charmonium), which gives another tree only γ measurement (the only assumption is that the ΔI=3/2 b-->d EW penguin amplitude is negligible)).
α, β, γ
convention
ϕ1, ϕ2, ϕ3
convention

eps png


eps png
Constraints from "Tree" quantities in the (ρ-bar,η-bar) plane (involving γ(DK) and α from the isospin analysis with the help of sin2β (charmonium), which gives another tree only γ measurement (the only assumption is that the ΔI=3/2 b-->d EW penguin amplitude is negligible)). The constraints from γ(DK) and γ(α)=π-α-β are shown.
α, β, γ
convention
ϕ1, ϕ2, ϕ3
convention

eps png


eps png

Constraints from "Tree" quantities in the (ρ-bar,η-bar) plane, with only input on |Vub| from semileptonic decays (involving γ(DK) and α from the isospin analysis with the help of sin2β (charmonium), which gives another tree only γ measurement (the only assumption is that the ΔI=3/2 b-->d EW penguin amplitude is negligible)).
α, β, γ
convention
ϕ1, ϕ2, ϕ3
convention

eps png


eps png

Constraints from "Tree" quantities in the (ρ-bar,η-bar) plane (only γ(DK) is used).
α, β, γ
convention
ϕ1, ϕ2, ϕ3
convention

eps png


eps png

Constraints from "Tree" quantities in the (ρ-bar,η-bar) plane with only input on |Vub| from semileptonic decays (ony γ(DK) is used).
α, β, γ
convention
ϕ1, ϕ2, ϕ3
convention

eps png


eps png

Constraints from "Tree" quantities in the (ρ-bar,η-bar) plane with only input on |Vub| from exclusive semileptonic B decays (only γ(DK) is used).
α, β, γ
convention
ϕ1, ϕ2, ϕ3
convention

eps png


eps png

Constraints from "Tree" quantities in the (ρ-bar,η-bar) plane with only input on |Vub| from inclusive semileptonic B decays (only γ(DK) is used).
α, β, γ
convention
ϕ1, ϕ2, ϕ3
convention

eps png


eps png

Constraints from "Loop" quantities in the (ρ-bar,η-bar) plane.
α, β, γ
convention
ϕ1, ϕ2, ϕ3
convention

eps png


eps png

Constraints in the (ρ-bar,η-bar) plane, not including the braching ratio of B+ → τ+ν in the global fit.
α, β, γ
convention
ϕ1, ϕ2, ϕ3
convention

eps png


eps png

Constraints in the (ρ-bar,η-bar) plane not including the measurement of sin2β in the global fit.
α, β, γ
convention
ϕ1, ϕ2, ϕ3
convention

eps png


eps png

Pulls

Pulls for various inputs or parameters involved in the Standard Model global fit. Each pull (in units of σ) is computed by taking the square root of the difference between χ2min obtained including or not including direct information on the quantity. This corresponds to consider Δχ2X;min2with data on X;min- χ2without data X;min as a random variable distributed with 1 degree of freedom, and reinterpret the probability of reaching the observed value in units of σ. The presence of a plateau in the Rfit model for systematic uncertainties may lead to a vanishing pull for some quantities even in cases where the predicted and observed values are not identical. Some of the pulls presented in this plot are correlated [this is for instance the case for sin 2β and Br(B→τν)].


eps png

The global CKM fit in the large (ρ̅M, η̅M) plane
with M = sb, ds, ct, ut, uc:

The constraints can be expressed in the unitarity triangles associated with the different mesons of interest, with the relative coordinates of the upper appex of each triangle defined as
ρ̅d1d2+iη̅d1d2 =-(Vud1Vud2*)/(Vcd1Vcd2*),     ρ̅u1u2+iη̅u1u2 =-(Vu1dVu2d*)/(Vu1sVu2s*).
Constraints in the (ρ̅sb, η̅sb) plane. The red hashed region of the global combination corresponds to 68% CL.
α, β, γ
convention
ϕ1, ϕ2, ϕ3
convention

eps png


eps png

Constraints in the (ρ̅ds, η̅ds) plane. The red hashed region of the global combination corresponds to 68% CL.
α, β, γ
convention
ϕ1, ϕ2, ϕ3
convention

eps png


eps png

Constraints in the (ρ̅tc, η̅tc) plane. The red hashed region of the global combination corresponds to 68% CL.
α, β, γ
convention
ϕ1, ϕ2, ϕ3
convention

eps png


eps png

Constraints in the (ρ̅tu, η̅tu) plane. The red hashed region of the global combination corresponds to 68% CL.
α, β, γ
convention
ϕ1, ϕ2, ϕ3
convention

eps png


eps png

Constraints in the (ρ̅cu, η̅cu) plane. The red hashed region of the global combination corresponds to 68% CL.
α, β, γ
convention
ϕ1, ϕ2, ϕ3
convention

eps png


eps png

The global CKM fit in the (|Vud|,|Vus|) plane:

Constraints in the (|Vud|,|Vus|) plane. The indirect constraints (coming from b transitions) are related to |Vud| and |Vus| through unitarity. The yellow region of the global combination corresponds to 68% CL.

Deviation from unitarity (based only on direct determinations) : |Vud|2+|Vus|2+|Vub|2-1 = -0.00233 [+0.00221 -0.00020] (1σ) |Vud|2+|Vus|2+|Vub|2-1 = -0.00233 [+0.00235 -0.00041] (2σ) |Vud|2+|Vus|2+|Vub|2-1 = -0.00233 [+0.00236 -0.00062] (3σ)


eps png

The global CKM fit in the (|Vcd|,|Vcs|) plane:

Constraints in the (|Vcd|,|Vcs|) plane. The indirect constraints (combing from b and s transitions) are related to |Vcd| and |Vcs| through unitarity. The direct constraints combine leptonic and semileptonic D and Ds decays as well as information from neutrino-nucleaon scattering and W → cs decays. The yellow region of the global combination corresponds to 68% CL.


eps png

Constraints in the (|Vcd|,|Vcs|) plane where direct constraints involve only leptonic D and Ds decays with our inputs for lattice averages for fD and fDs.


eps png

Constraints in the (|Vcd|,|Vcs|) plane where direct constraints involve only semileptonic D and Ds decays with our inputs for lattice averages FD → π(0) and FD → K (0).


eps png

Constraints in the (|Vcd|,|Vcs|) plane where direct constraints involve only information from neutrino-nucleaon scattering and W→ cs decays (no lattice input).


eps png

The global CKM fit in the (|Vub|,|Vcb|) plane:

Constraints in the (|Vub|,|Vcb|) plane. The horizontal and vertical coloured bands represent our average of the determinations from semileptonic B decays. The white bands with solid (dashed) borders correspond to the determination from exclusive (inclusive) semileptonic B decays. The diagonal coloured band corresponds to the determination of |Vub|/|Vcb| from Λb decays.

The rainbow oval region indicates the indirect determination of |Vub| and |Vcb| from the global fit, without any information from semileptonic or leptonic decays of b-hadrons.


eps png

Constraints on |Vub| from inclusive and exclusive B decays, as well as our average, compared to the indirect determination from the global fit.


eps png

Constraints on |Vcb| from inclusive and exclusive B decays, as well as our average, compared to the indirect determination from the global fit.


eps png

The global CKM fit for α:

Combined constraint on the CKM angle α (Φ2) from the Isospin analyses of B→ππ, B→ρπ and B→ρρ compared to the prediction of the global CKM fit (not including the α-related measurements).
α, β, γ
convention
ϕ1, ϕ2, ϕ3
convention

eps png


eps png

Constraints on the CKM angle α (Φ2) from B→ππ (BABAR, Belle incl. Belle II and WA) compared to the prediction of the global CKM fit (not including the α-related measurements).
α, β, γ
convention
ϕ1, ϕ2, ϕ3
convention

eps png


eps png

Constraint on the reduced isospin amplitude
a+- = A+-/A+0 (and CP conjugate) in the complex plane for the B/B →ππ systems. The individual constraint from the B0→π+π- channel and from the B0→π+π0 chanel observables are indicated by the yellow and green circular areas, respectively. The corresponding isospin triangular relation is represented by the black triangle.
B→ππ system B →ππ system

eps png


eps png

Constraints on the CKM angle α (Φ2) from B→ρρ (BABAR, Belle incl. Belle II and WA) compared to the prediction of the global CKM fit (not including the α-related measurements).
α, β, γ
convention
ϕ1, ϕ2, ϕ3
convention

eps png


eps png

Constraint on the reduced isospin amplitude
a+- = A+-/A+0 (and CP conjugate) in the complex plane for the B/B →ρρ systems. The individual constraint from the B0→ρ+ρ- channel and from the B0→ρ+ρ0 chanel observables are indicated by the yellow and green circular areas, respectively. The corresponding isospin triangular relation is represented by the black triangle.
B→ρρ system B →ρρ system

eps png


eps png

Constraint on the CP-violating observables (C00,S00) in the B0 →π0π0 decay (not including the direct measurement). The world-average value for the time-integrated parameter, C00, is indicated by the hatched gray band.

eps png
One-dimensional projection on the yet-unmeasured time-dependent observable, S00, predicted to be,
S00=0.79 (+0.10,-0.15) (1σ)

eps png

|Vtd/Vts| from Radiative Penguins :

Constraint on the ratio |Vtd/Vts| from the oscillation frequencies, Δmd/s, compared to the branching fractions of exclusive b →(d/s)γ radiative decays. The latter includes the recent LHCb measurement of B0→ρ0γ branching fraction and the first evidence for BsK*0γ decays . The indirect CKM fit value (not including the oscillation data) is indicated by the blue point.

eps png
The current precision on |Vtd/Vts| derived from radiative data is limited by the theoretical knowledge of the hadronic form-factors for B0→ρ0, BsK*0 and B0→K*0 transitions. Their relative values, estimated from QCD factorisation and light-cone sum rules, are taken from P. Ball et all, 2007. Conversely, the B0→ρ0 (left) and BsK*0 (right) form-factors relative to the B0→K*0 one, can be constrained by the global CKM fit including the radiative data, and compared to their theoretical determination.

eps png

eps png
Similarly, the theoretical decay-constant and bag-parameter can simultaneously be constrained in the plane (fBd√B̂Bd, fBd) using the B0 oscillation frequency, Δmd, and the branching ratio of the B-→τ-ν leptonic decay. The precise determinations of those theoretical quantities derived from Lattice QCD is represented by the black contour.

eps png
Global CKM fit constraint on the SU(3)-breaking ratio
ξ = fBd√B̂Bd / fBs√B̂Bs (Lattice QCD excluded) compared to its value derived from Lattice QCD.

eps png

Very rare Kaon decays:

Global CKM fit prediction for the branching fractions of the rare K→πνν decays:
B(K+→π+νν) = (8.6 ± 0.7) 10-11
B(KL→π0νν) = (3.0 ± 0.1) 10-11
The experimental measurement reported by NA62 (arXiv) for the first observation of the charged mode is indicated.

eps png
Constraints on the Rt side of the Unitarity Triangle in the (ρ-bar,η-bar) plane, from the B-mesons oscillations (orange), the Radiative data (green), and the rare charged kaon decay, K+→π+νν (gray).

eps png